3 Концепции анализа риска
3.1 Цель и основные концепции
анализа риска
Риск присутствует любой деятельности человека. Он
может относиться к здоровью и безопасности (учитывая, например, как
немедленные, так и долгосрочные последствия для здоровья от воздействия
токсичных химических продуктов). Риск может быть экономическим, например,
приводящим к уничтожению оборудования и продукции вследствие пожаров, взрывов
или других аварий. Он может учитывать неблагоприятные воздействия на окружающую
среду. Задачей управления рисками является контроль, предотвращение или
сокращение гибели людей, снижение заболеваемости, снижение ущерба, урона
имуществу и логически вытекающих потерь, а также предотвращение
неблагоприятного воздействия на окружающую среду.
Для повышения
эффективности управления рисками необходимо проводить предварительный анализ
риска, включающий:
а) идентификацию риска и
определение подходов к решению связанных с ним проблем;
б) использование
объективной информации при принятии решений;
в) удовлетворение
регламентированных требований к риску.
Результаты анализа риска
могут использоваться специалистом, принимающим решение при оценке допустимости
риска, а также при выборе между потенциальными мерами по снижению или
устранению риска. С точки зрения специалиста, принимающего решение, к основным
достоинствам анализа риска относятся:
а) систематическая
идентификация потенциальных опасностей;
б) систематическая
идентификация возможных видов отказов;
в) количественные оценки
или ранжирование рисков;
г) оценка надежности
возможных модификаций системы для снижения риска и достижения предпочтительных
уровней ее надежности;
д) выявление факторов,
обуславливающих риск, и слабых звеньев в системе;
е) более глубокое
понимание устройства и функционирования системы;
ж) сопоставление риска исследуемой
системы с рисками альтернативных систем или технологий;
и) идентификация и
сопоставление рисков и неопределенностей;
к) помощь в установлении
приоритетов при совершенствовании санитарных требований и норм;
л) формирование базы для
рациональной организации профилактического обслуживания, ремонта и контроля;
м) обеспечение
возможности поставарийного расследования и мер по предупреждению аварий;
н) возможность выбора мер
и приемов по обеспечению снижения риска.
Все эти факторы играют
важную роль в эффективном управлении рисками независимо от того, какие задачи
рассматриваются (охрана здоровья, безопасность, предотвращение экономических
потерь, обеспечение выполнения требований постановлений правительства и т. п.).
Анализ может охватывать
такие области специальных знаний, как:
а) системный анализ;
б) вероятность и
статистика;
в) химическая технология,
машиностроение, электротехника, строительная техника или ядерная техника;
г) физические, химические
или биологические науки;
д) медицинские науки, в
том числе токсикология и эпидемиология;
е) общественные науки, в
том числе экономика, психология и социология;
ж) влияние человеческого
фактора, эргономика и наука управления.
3.2 Управление рисками и
распределение рисков по категориям
Анализ риска является частью
оценки риска и процесса управления риском, показанного на рисунке 1, и состоит из определения области применения,
идентификации опасности и оценки величины риска.
Опасности могут быть
отнесены к следующим четырем основным категориям:
а) природные опасности
(наводнения, землетрясения, ураганы, молния и т. д.);
б) технические опасности,
источниками которых являются промышленное оборудование, сооружения,
транспортные системы, потребительская продукция, пестициды, гербициды,
фармацевтические препараты и т. п.;
в) социальные опасности,
источниками которых являются вооруженное нападение, война, диверсия,
инфекционное заболевание и т. д.;
г) опасности, связанные с
укладом жизни (злоупотребление наркотиками, алкоголь, курение и т. д.).
Очевидно, что
данные категории не являются взаимоисключающими. Так при анализе технических
опасностей часто бывает необходимо учитывать влияние факторов из других
категорий (в особенности природных опасностей) и других систем в качестве части
анализа риска.
Риск также может быть классифицирован, исходя из характера возможных
последствий. Например, характер последствий может быть:
а) индивидуальным (воздействие на отдельных людей);
б) профессиональным (воздействие на работающих);
в) социальным (общее воздействие на сообщество людей);
г) приводящим к имущественному урону и экономическим потерям (нарушения
деловой деятельности, штрафы и т. д.);
е) касающимся окружающей среды (воздействие на землю, воздух, воду,
растительный, животный мир и культурное наследие).
Общей задачей анализа риска является обоснование решений, касающихся
риска. Эти решения могут приниматься как часть более крупного процесса
управления рисками посредством сопоставления результатов анализа риска с
критериями допустимого риска. Во многих ситуациях возникает необходимость
оценивания преимуществ того или иного решения. В целом назначение критериев
допустимого риска является достаточно сложной задачей, особенно в социальной,
экономической и политической областях, и находится вне сферы рассмотрения
настоящего стандарта.
3.3 Применение анализа риска на
различных стадиях жизненного цикла
В настоящем подразделе перечислены некоторые конкретные цели анализа риска,
относящиеся к различным стадиям жизненного цикла опасных систем, оборудования
или изделий:
а) Стадия проектирования:
1) выявление главных источников риска и предполагаемых факторов,
существенно влияющих на риск;
2) предоставление исходных данных для оценки конструкции в целом;
3) определение и оценка возможных мер безопасности, закладываемых в
конструкцию;
4) предоставление исходных данных для оценки потенциально опасных
действий, оборудования или систем;
5) обеспечение соответствующей информацией при проведении
опытно-конструкторских работ, ориентированных на нормальные и чрезвычайные
условия;
6) оценка риска с учетом регламентов и других требований;
7) оценка альтернативных конструктивных решений.
б) Стадии изготовления, монтажа, эксплуатации и технического
обслуживания:
1) контроль и оценка данных эксплуатации с целью сопоставления
фактических показателей работы с соответствующими требованиями;
2) обеспечение исходными данными процесса разработки методик
эксплуатации, технического обслуживания/контроля и действий в чрезвычайных
ситуациях;
3) корректировка информации об основных источниках риска и влияющих
факторах;
4) предоставление информации по значимости риска для принятия
оперативных решений;
5) определение влияния изменений в организационной структуре,
производстве, процедурах эксплуатации и компонентах системы;
6) подготовка персонала.
в) Стадия демонтажа, прекращения эксплуатации:
1) оценка риска, связанного с прекращением функционирования системы, и
обеспечение возможности выполнения соответствующих требований;
2) обеспечение исходными данными процесса прекращения функционирования
системы и ее демонтажа.
Менеджмент риска. Анализ риска технологических систем




























Приложения к ГОСТу

Текст ГОСТ Р 51901. 12-2007 Менеджмент риска. Метод анализа видов и последствий отказов
Исследование опасности и связанных с ней проблем (
является формой анализа видов и последствий
отказов ( первоначально были
разработаны для химической промышленности. Это процедура идентификации
возможных опасностей по всему объекту в целом. Она особенно полезна при
идентификации непредвиденных опасностей, заложенных в объекте вследствие
недостатка информации при разработке, или опасностей, проявляющихся в
существующих объектах из-за отклонений в процессе их функционирования.
Основными задачами метода являются:
а) составление полного описания объекта или процесса, включая
предполагаемые состояния конструкции;
б) систематическая проверка каждой части объекта или процесса с целью
обнаружения путей возникновения отклонений от проектного замысла;
в) принятие решения о возможности возникновения опасностей или проблем,
связанных с данными отклонениями.
могут применяться по отношению к техническим
объектам в процессе их функционирования либо на различных стадиях
проектирования. Исследование , осуществляемое во время начальной стадии
проектирования, может выполнять руководитель проекта.
Наиболее распространенная форма исследования осуществляется на
стадии рабочего проекта и носит название исследования
предусматривает следующие этапы:
Этап 1 – определение целей, задач и области применения исследования, например
выделение опасности, характеризующейся только нелокальными последствиями или
только локальными последствиями, участков промышленного объекта, подлежащих
рассмотрению, и т. д.;
Этап 2 – комплектование группы по исследованию . Данная группа должна
состоять из проектировщиков и эксплуатационников, обладающих достаточной
компетентностью для оценки последствий отклонений от условий функционирования
системы;
Этап 3 – сбор необходимой документации, чертежей и описаний технологического
процесса. Сюда входят графики последовательности технологических операций;
чертежи трубопроводов и измерительного оборудования; технические условия на
оборудование, трубопроводы и измерительную аппаратуру; логические диаграммы
управления технологическим процессом; проектные схемы; методики эксплуатации и
технического обслуживания; методики реагирования на чрезвычайные ситуации и т.
д.;
Этап 4 – анализ каждой основной единицы оборудования и
всего вспомогательного оборудования, трубопроводов и контрольно-измерительной
аппаратуры с использованием документов, собранных на этапе 3. В первую очередь
определяется цель проектирования технологического процесса, затем применительно
к каждой линии и единице оборудования по отношению к таким переменным процесса,
как температура, давление, расход, уровень и химический состав, применяются
слова-указатели (по таблице А.1).
(Данные слова-указатели стимулируют индивидуальное мышление и побуждают к
коллективному обсуждению);
Этап 5 – документальное подтверждение любого отклонения от нормы и
соответствующих состояний. Кроме того, осуществляется выявление способов
обнаружения и/или предупреждения отклонения. Данное документальное
подтверждение обычно указывается на рабочих листах . Образец такого рабочего листа
слов-указателей «не, нет» по отношению к «расходу» представлен в таблице А.2.
– Образец рабочего листа слов-указателей «не,
нет»
может выделить отклонения, для которых необходима разработка смягчающих мер. В
тех случаях, когда смягчающие меры неочевидны или очень дороги, результаты исследования
дают возможность
идентифицировать инициирующие события, необходимые для дальнейшего анализа
риска.
Анализ видов и последствий отказов (
представляет собой подход по принципу «снизу
вверх» и рассматривает последствия аварийных состояний компонента по принципу
«одно за один раз». Этот метод способен переработать достаточное количество
данных, прежде чем стать затруднительным для реализации. Кроме того, результаты
могут быть легко перепроверены другим человеком, знакомым с системой.
Главными недостатками метода являются избыточность, исключение из
рассмотрения восстановительно-ремонтных действий и сосредоточение на авариях
единственного компонента.
может распространяться на выполнение того, что называется «Анализом
видов отказов, функционирования и критичности (ЕСА каждый выявленный отказ ранжируется в
соответствии с вероятностью его возникновения и серьезностью его последствий.
Анализ диаграммы всех возможных последствий несрабатывания или аварии
системы (анализ «дерева неисправностей» (
ТА представляет собой совокупность приемов
качественных или количественных, при помощи которых выявляются методом
дедукции, выстраиваются в логическую цепь и представляются в графической форме
те условия и факторы, которые могут способствовать определенному нежелательному
событию (называемому вершиной событий). Неисправностями или авариями,
идентифицируемыми в «дереве», могут быть события, связанные с повреждениями механической конструкции
компонента, ошибками персонала или любыми другими событиями, которые влекут за
собой нежелательное событие. Начиная с вершины событий выявляются возможные
причины или аварийные состояния следующего, более низкого функционального
уровня системы. Последующая поэтапная идентификация нежелательного
функционирования системы в направлении последовательно снижающихся уровней
системы приводит к искомому уровню системы, которым является аварийное
состояние компонента. Пример «дерева неисправностей» для аварийного генератора
представлен на рисунке А.1. Таблица
наиболее распространенных символов «дерева неисправностей» представлена на рисунке А.2.
предоставляет возможность подхода, который
является в высокой степени системным, но в то же время достаточно гибким для
того, чтобы обеспечить возможность анализа множества факторов, включая
взаимодействия людей и физические явления. Применение подхода по принципу
«сверху вниз», неявного по своей методике, концентрирует внимание на тех
воздействиях неисправности или аварии, которые имеют непосредственное отношение
к вершине событий. Это представляет собой определенное преимущество, несмотря
на то, что может стать и причиной утраты тех воздействий, которые являются
существенно важными где-нибудь еще.
особенно полезен для анализа систем с множеством областей контакта и
взаимодействий. Графическое представление приводит к тому, что можно без
особого труда понять поведение системы и поведение включенных в него факторов,
но поскольку размер «деревьев» зачастую велик, обработка «деревьев
неисправностей» может потребовать применения компьютерных систем. Эта отличительная
черта также затрудняет проверку «дерева неисправностей».

Рисунок А.1 – Пример
«дерева неисправностей»
Рисунок А.2 – Символы «дерева неисправностей»
Анализ диаграммы возможных последствий события (анализ «дерева
событий») (ЕТА)
ЕТА представляет
собой совокупность приемов количественных или качественных, которые
используются для идентификации возможных исходов инициирующего события и, если
это требуется, их вероятностей. ЕТА широко используется для объектов,
характеризующихся особенностями проекта, которые способствуют снижению
аварийности и позволяют выявлять последовательности событий, которые, в свою
очередь, приводят к появлению определенных последствий инициирующего события.
Предполагается, что каждое событие в последовательности представляет собой либо
исправность, либо неисправность. Простое «дерево событий» для взрыва пыли с
указанными на нем вероятностями представлено на рисунке А.3. Следует отметить, что вероятности на
«дереве событий» являются условными вероятностями. Например, вероятность
функционирования разбрызгивателя не является вероятностью, полученной на
основании испытаний при нормальных условиях, а является вероятностью
функционирования в условиях пожара, вызванного взрывом.

Рисунок А.3 – Пример «дерева событий» для
взрыва пыли
ЕТА может
быть использован как для идентификации опасности, так и для вероятностной
оценки последовательности событий, влекущих за собой опасные ситуации.
Предварительный анализ опасности (РНА)
РНА представляет собой индуктивный метод анализа, задачей которого
является идентификация опасностей, опасных ситуаций и событий, которые могут
причинить вред данной деятельности, объекту или системе. Чаще всего его принято
проводить на ранней стадии разработки проекта, когда мало информации по деталям
конструкции и рабочим процедурам, и зачастую он может быть предшественником
последующих исследований. Кроме того, он может оказаться полезным в тех
случаях, когда анализируются существующие системы или устанавливаются
приоритеты опасностей, где обстоятельства препятствуют использованию более
обширной совокупности технических приемов.
При проведении РНА вырабатывается перечень опасностей и опасных
ситуаций общего характера посредством рассмотрения таких характеристик, как:
а) используемые или производимые материалы и их способность вступать в
реакцию;
б) применяемое оборудование;
в) условия окружающей среды;
г) схема расположения;
е) области контакта и взаимодействия между компонентами системы и т. д.
Реализация данного метода завершается определением возможностей аварии,
качественной оценкой величины возможного вреда или ущерба здоровью, который мог
быть нанесен, и идентификацией возможных исправительных мер. должен корректироваться на стадиях
проектирования, изготовления и испытания для обнаружения новых опасностей,
внесения поправок и его совершенствования. Полученные результаты могут быть представлены
различными способами, например в виде таблиц и «деревьев».
Оценка влияния на надежность человеческого фактора (
А.6.1 Общие положения
Оценка связана с влиянием человеческого фактора, а именно операторов и
обслуживающего персонала, на работу системы и может быть использована для
оценки воздействия ошибок персонала на безопасность и производительность.
Многие процессы содержат потенциальные возможности для ошибок
персонала, в особенности в тех случаях, когда время, которым располагает оператор
для принятия решений, ограничено. Вероятность того, что проблемы будут
развиваться негативным образом, зачастую мала. Иногда действия со стороны
персонала ограничиваются возможностью предотвращения начальной неисправности,
прогрессирующей в направлении аварии.
идентифицируются разнообразные типы ошибочных действий, которые могут иметь
место, в том числе следующие:
а) ошибка по оплошности, недосмотр, выразившийся в невыполнении
требуемого действия;
б) ошибка несоответствия, которая может предусматривать:
1) положение, когда требуемое действие выполняется несоответствующим
образом;
2) действие, выполняемое слишком большим или слишком малым усилием либо
без требуемой точности;
3) действие, выполняемое в неподходящее для него время;
4) действие (или действия), выполняемое в неправильной очередности;
в) лишнее действие, ненужное действие, выполняемое вместо требуемого
действия или в дополнение к нему.
выявляются действия, которые могут воссоздать предшествующие ошибки.
является смешанной дисциплиной, в которой заняты исследователи и практики,
являющиеся, как правило, специалистами в сферах либо теории и практики
надежности, либо психологии и человеческих факторов.
была проиллюстрирована различными авариями, в которых критические ошибки
человека способствовали катастрофической последовательности событий. Такого
рода аварии являются предостережением от оценок риска, которые концентрируют
внимание исключительно на механической конструкции и программных средствах в
системе. Они иллюстрируют опасность игнорирования ошибок персонала. Более того,
являются полезными
при рассмотрении ошибок, снижающих производительность, и при выявлении тех
путей, которыми эти ошибки и другие неисправности (механической конструкции и
программного обеспечения) могут быть «воспроизведены» людьми, операторами и
обслуживающим персоналом.
может включать в себя следующие этапы:
1) анализ задачи;
2) выявление ошибки персонала;
3) количественное определение влияния на надежность человеческого
фактора.
Анализ
задачи и выявление ошибки персонала необходимо начинать на стадии концепции и
на ранних этапах проектирования и разработки. Они должны модернизироваться на
более поздних стадиях развития системы.
А.6.2 Анализ задачи (ТА)
Целью ТА в процессе
является подробное описание и определение характера задачи, подлежащей анализу,
для выявления ошибки персонала и/или количественной оценки влияния на
надежность человека. Анализ задачи может также проводиться для других целей,
таких как оценка взаимодействия человека с машиной или планирование процедуры.
А.6.3 Выявление ошибки
персонала (
На данном этапе идентифицируются и описываются возможные ошибочные
действия при исполнении задачи. Выявление ошибки персонала может включать выявление
возможных последствий и причин ошибочных действий, а также предложение мер по
снижению вероятности этой ошибки, совершенствованию перспектив для исправления
и/или уменьшению последствий ошибочных действий. Результаты , таким образом, обеспечивают ценный вклад в
управление риском даже в том случае, если не проводится никакая количественная
оценка.
А.6.4 Количественная оценка
влияния на надежность человеческого фактора (
Целью HRQ является оценка вероятности правильного выполнения задачи или
вероятности ошибочных действий. Некоторые технические приемы могут также
предусматривать шаги по оценке вероятности или частоты определенных
последовательностей нежелательных событий или нежелательных исходов.
2 Определения
В настоящем стандарте применяются следующие термины
с соответствующими определениями:
2.1 вред (harm): Физический
ущерб или урон здоровью, имуществу или окружающей среде.
2.2 опасность (hazard): Источник потенциального вреда или ситуация с потенциальной
возможностью нанесения вреда.
2.3 опасное событие (hazardous event): Событие,
которое может причинить вред.
2.4 идентификация опасности (hazard identification): Процесс
осознания того, что опасность существует, и определения ее характерных черт.
2.5 риск (risk): Сочетание вероятности события и его последствий.
– Термин «риск» обычно используется тогда, когда
существует хотя бы возможность негативных последствий.
2.6 анализ риска (risk analysis): Систематическое
использование информации для определения источников и количественной оценки
риска.
– Анализ риска обеспечивает базу для оценивания
риска, мероприятий по снижению риска и принятия риска.
2.7 оценка
риска (risk assesment): Общий процесс анализа риска и оценивания
риска, (см. рисунок 1)

Рисунок 1 – Соотношения между анализом риска
и другими действиями по управлению риском
2.8 управление риском (risk control): Действия,
осуществляемые для выполнения решений в рамках менеджмента рисков.
Примечание – Управление
риском может включать мониторинг, переоценивание и соответствие принятым
решениям.
2.9 оценка величины риска (risk estimation): Процесс
присвоения значений вероятности и последствий риска.
Оценка величины риска может рассматривать
стоимость, выгоды, озабоченность участвующих сторон и другие переменные,
рассматриваемые при оценивании риска.
2.10 оценивание риска (risk evaluation): Процесс
сравнения оцененного риска с данными критериями риска с целью определения
значимости риска.
– Оценивание риска может быть использовано для
содействия решениям по принятию или обработке риска.
2.11 менеджмент риска (risk management): Скоординированные действия по
руководству и управлению организацией в отношении рисков.
– Обычно менеджмент риска включает оценку рисков,
обработку рисков, принятие рисков и коммуникацию рисков.
2.12 система (system): Составной объект любого уровня сложности, который может включать
персонал, процедуры, материалы, инструменты, оборудование, средства
обслуживания, программное обеспечение.
5 Аудит
В тех случаях, когда это необходимо,
для обеспечения эффективности и строгого соблюдения требований настоящего
стандарта может проводиться аудит процесса анализа риска. Аудит должен
проводиться лицами, непосредственно не привлеченными к участию в выполнении
конкретного анализа риска. При этом должны применяться соответствующие процессы
и процедуры обеспечения качества.
ПРИЛОЖЕНИЕ Б
*Оригиналы международных стандартов МЭК – во
ВНИИКИ Госстандарта России
Ключевые
слова: риск, опасность, оценка риска, оценка величины риска, идентификация
опасности, оценивание риска, ущерб, анализ риска, виды и последствия отказов,
дерево неисправностей, анализ опасности
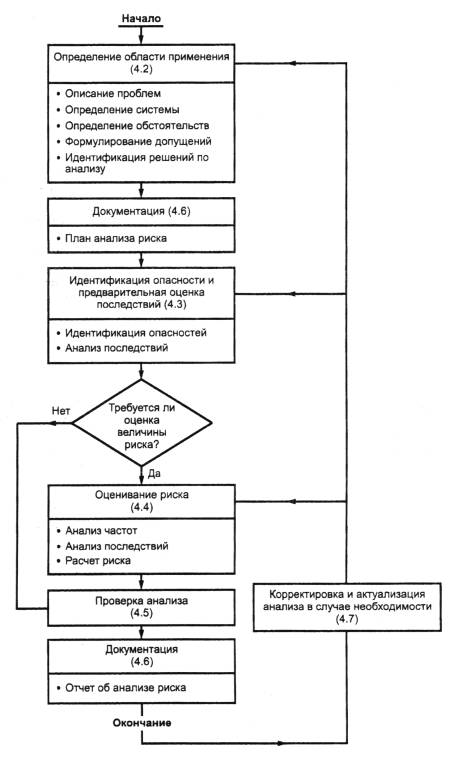
4 Процесс анализа риска
4.1 Общие положения
Для повышения эффективности и объективности анализа риска и обеспечения
сопоставимости с другими результатами по анализу риска необходимо соблюдать
следующие общие правила. Процесс анализа риска должен осуществляться в
соответствии со следующими этапами:
а) определение области применения;
б) идентификация опасности и предварительная оценка последствий;
в) оценка величины риска;
г) проверка результатов анализа;
д) документальное обоснование;
е) корректировка результатов анализа с учетом
последних данных.
Данный процесс показан на рисунке 2.
Оценка риска включает проведение анализа частот и анализа последствий. Несмотря
на то, что на рисунке 2 документация
изображена в качестве отдельного блока, она разрабатывается на каждой стадии
процесса. В зависимости от области применения рассматриваются лишь определенные
элементы представленного процесса. Например, в некоторых случаях может
оказаться, что нет необходимости выходить за рамки исходного анализа опасности
и последствий.

Рисунок 2 – Процесс
анализа риска (раздел 4)
Необходимым требованием
является скрупулезное знание системы и используемых методов анализа. В том
случае, если имеются результаты анализа риска для похожей системы, они могут
быть использованы в качестве справочного материала. При этом необходимо
доказать, что процессы являются похожими, и что внесение изменений не вносит
существенных различий в результаты. Выводы должны основываться на
систематической оценке изменений и на том, каким образом они могут влиять на
существующие опасности.
4.1.1 Персонал для
проведения анализа риска
Аналитики, участвующие в
анализе риска, должны быть достаточно компетентными. Многие системы слишком
сложны для работы одного человека, поэтому для выполнения анализа требуется
группа аналитиков.
Отдельное лицо или рабочая
группа должны быть ознакомлены с методами, используемыми для анализа риска, и
должны располагать достаточными знаниями о рассматриваемом предмете. При
необходимости для проведения анализа должны быть представлены и использованы
другие необходимые сведения. Заключение специалистов рабочей группы должно быть
документально зафиксировано.
4.2 Определение области
применения
Для выработки плана
анализа риска область применения анализа риска должна быть определена и
документально установлена. Определение области применения анализа риска должно
включать в себя следующие этапы:
а) Описание оснований
и/или проблем, повлекших проведение анализа риска. Это предусматривает:
1) формулировку задач
анализа риска, основанных на внушающих тревогу идентифицированных потенциальных
опасностях;
2) определение критериев
работоспособности/отказа системы. Основными потенциально опасными моментами
могут быть нежелательные состояния системы, например, отказ системы, выброс
ядовитого материала и т. п.
б) Описание исследуемой
системы. Это должно включать в себя:
1) общее описание
системы;
2) определение границ и
областей контакта со смежными системами;
3) описание условий
окружающей среды;
4) выделение видов
энергии, материалов и информации, превышающих допустимые границы;
5) определение рабочих
условий и состояний системы, на которые распространяется анализ риска, и
соответствующие ограничения.
в) Установление
источников, предоставляющих подробную информацию о всех технических, связанных
с окружающей средой, правовых, организационных и человеческих факторах, имеющих
отношение к анализируемым действиям и проблеме. В частности, должны быть
описаны любые обстоятельства, касающиеся безопасности.
г) Описание используемых
предположений и ограничивающих условий при проведении анализа.
д) Разработка
формулировок решений, которые могут быть приняты, описание требуемых выходных
данных, полученных по результатам исследований и от лиц, принимающих решения.
Задача по определению
области применения анализа риска должна предусматривать тщательное ознакомление
с анализируемой системой. Одна из целей ознакомления – это определение
источников и методов использования специализированной информации.
4.3 Идентификация опасности и
предварительная оценка последствий
Для решения поставленной
задачи должны быть идентифицированы опасности, являющиеся причиной риска, а
также пути, по которым эти опасности могут реализовываться.
Известные опасности
(возможно, имевшие место при предыдущих авариях) должны быть четко и точно
определены. Для идентификации опасностей, не учитываемых ранее при проведении
анализа, должны применяться формальные методы (см. 6.3.1).
Предварительную оценку
значения идентифицированных опасностей необходимо выполнять, основываясь на
анализе последствий и изучении их основных причин.
Предварительная оценка
значения идентифицированных опасностей определяет выбор последующих действий:
а) принятие немедленных
мер с целью исключения или уменьшения опасностей;
б) прекращение анализа,
поскольку опасности или их последствия являются несущественными;
в) переход к
оцениванию риска.
Исходные допущения и
результаты должны быть документально зафиксированы (см. 4.6).
4.4 Оценка величины риска
В процессе оценки величины
риска для выбора критического уровня анализируемых рисков должны исследоваться
начальные события или обстоятельства, последовательность потенциально опасных
событий, любые смягчающие факторы и характеристики, а также природа и частота
возможных пагубных последствий идентифицированных опасностей. Эти критерии и
меры должны распространяться на риски для людей, имущества и окружающей среды и
должны включать значения неопределенностей оценок. Указанный процесс изложен в 4.4.1, 4.4.2
и 4.4.3. Методы анализа риска описаны в таблице 1.
Методы, используемые для
оценки величины риска, обычно являются количественными, несмотря на то, что
степень детализации при подготовке исходной информации зависит от конкретного
применения (см. 6.2). Однако полный
количественный анализ не всегда возможен из-за недостатка информации о системе
или деятельности, подвергающейся анализу, отсутствия или недостатка данных об
отказе (аварии), влиянии человеческого фактора и т. п. При таких
обстоятельствах может оказаться эффективным сравнительное количественное или
качественное ранжирование риска специалистами, хорошо информированными в данной
области. В тех случаях, когда проводится качественное ранжирование, необходимо
иметь четкое разъяснение всех используемых терминов и должно быть зафиксировано
обоснование всех классификаций частот и последствий. В том случае, когда
проводится полная количественная оценка величины риска, необходимо учитывать,
что расчетные значения риска представляют собой оценки и следует позаботиться о
том, чтобы их точность соответствовала точности используемых данных и
аналитических методов.
Элементы процесса оценки
величины риска являются общими для всех видов опасности. Прежде всего
анализируются возможные причины опасности с целью определения частоты ее
возникновения, продолжительности, а также характера (количественные
характеристики, характеристики химического состава, характеристики
выделения/использования и т. д.). В том случае, если анализу подвергается
промышленное оборудование, в первую очередь проводится анализ частот, во вторую
очередь анализу подвергаются последствия реализации опасности. В процессе
анализа может возникнуть необходимость определения оценки вероятности
опасности, вызывающей последствия, и проведения анализов последовательности
обуславливающих событий.
Анализ частот используется
для оценки вероятности каждого нежелательного события, идентифицированного на
стадии идентификации опасности. Для оценки частот происходящих событий обычно
применяются следующие три подхода (см. 6.3.2.1):
а) использование
имеющихся статистических данных (предыстория);
б) получение частот
происходящих событий на основе аналитических или имитационных методов;
в) использование мнений
экспертов.
Все эти технические приемы
могут применяться по отдельности или совместно. Первые два подхода являются
взаимодополняющими; каждый имеет сильные стороны там, где другой имеет слабые.
Повсюду, где это возможно, должны применяться оба подхода. Таким образом, они
могут использоваться для взаимных проверок. Это может служить повышению степени
достоверности результатов. В тех случаях, когда данные подходы не могут
использоваться либо являются недостаточными, рекомендуется привлекать мнения
экспертов.
Анализ последствий
используется для оценки вероятного воздействия, которое вызывается
нежелательным событием.
а) основываться на
выбранных нежелательных событиях;
б) описывать любые
последствия, являющиеся результатом нежелательных событий;
в) учитывать существующие
меры, направленные на смягчение последствий, наряду со всеми соответствующими
условиями, оказывающими влияние на последствия;
г) устанавливать
критерии, используемые для полной идентификации последствий;
д) рассматривать и учитывать
как немедленные последствия, так и те, которые могут проявиться по прошествии
определенного периода времени, если это не противоречит сфере распространения
исследований;
е)
рассматривать и учитывать вторичные последствия, распространяющиеся на смежное
оборудование и системы.
Риск должен выражаться в наиболее подходящих показателях. Некоторыми
часто используемыми результатами вычислений являются:
а) прогнозируемая частота смертности или заболеваемости применительно к
отдельному человеку (индивидуальный риск);
б) диаграммы частоты в зависимости от последствия (известные как кривые
РNгде Рчастота; Nсовокупное число людей, которым причинен вред определенного вида, либо
совокупная стоимость ущерба) для социального риска;
в) статистически ожидаемый размер потерь от возникновения аварий,
экономических затрат или урона для окружающей среды;
г) распределение риска с соответствующим уровнем ущерба, представленное
в виде графика и указывающее уровни равного ущерба.
Необходимо установить, отражает ли полученная оценка риска уровень
общего риска или является лишь его частью.
При расчете риска необходимо учитывать как продолжительность
нежелательного события, так и вероятность того, что люди будут подвергаться его
воздействию.
Данные, используемые для расчета уровней риска, должны соответствовать
конкретному виду применения. Такого рода данные, по возможности, должны
основываться на конкретных анализируемых обстоятельствах. Если таковые
отсутствуют, должны использоваться данные общего характера, являющиеся
характерными и представительными для данной ситуации, либо должна
использоваться пользующаяся доверием экспертная оценка.
Данные должны собираться и группироваться в такой форме, которая
способствовала бы удобному поиску информации для ее использования при анализе
риска. Данные, которые более не соответствуют современному состоянию системы,
должны быть выявлены и исключены из информации, используемой при анализе.
Существует множество неопределенностей, связанных с оценкой риска.
Понимание неопределенностей и вызывающих их причин необходимо для эффективной
интерпретации значений риска. Анализ неопределенностей, связанных с
используемыми данными, методами и моделями, применяемыми для оценки ожидаемого
риска, играет существенную роль. Анализ неопределенностей предусматривает
определение изменений и неточностей в результатах моделирования, которые
являются следствием отклонения параметров и предположений, применяемых при
построении модели. Областью, тесно связанной с анализом неопределенностей,
является анализ чувствительности. Анализ чувствительности подразумевает
определение изменений в реакции модели на отклонения отдельных параметров
модели.
Оценка неопределенности состоит из преобразования неопределенности
критических параметров модели в неопределенность результатов в соответствии с
моделью риска. Требования к полноте и точности оценки риска должны быть
сформулированы настолько полно, насколько это возможно. Там, где это возможно,
должны быть выявлены источники неопределенности. Это относится как к
неопределенностям данных, так и к неопределенностям модели. Должны быть точно
определены те параметры, к которым чувствителен анализ.
4.5 Проверка анализа
Проверка анализа должна осуществляться людьми, не привлеченными к
участию в анализе. Проверки могут проводиться внутренними силами. Для
проведения проверок могут использоваться сторонние организации.
Проверка должна включать в себя следующие этапы:
а) проверка соответствия области применения поставленным задачам;
б) проверка всех важных допущений для обеспечения уверенности в том,
что они являются правдоподобными в условиях имеющейся информации;
в) подтверждение аналитиком правильности использованных методов,
моделей и данных;
г) проверка результатов анализа на повторяемость с привлечением
персонала, не участвующего в выполнении анализа;
д) проверка результатов анализа на устойчивость по отношению к
различным форматам данных.
При наличии соответствующей возможности
рекомендуется сопоставлять результаты анализа с наблюдениями.
Отчет об анализе риска
документально обосновывает процесс анализа риска и должен включать в себя либо
план анализа риска, либо ссылки на него и результаты оценки опасности.
Техническая информация, представленная в отчете, является важной частью
процесса анализа риска. Оценки риска должны быть представлены в доступной
форме, В отчете должны быть разъяснены преимущества и ограничения используемых
критериев риска. Пояснения относительно неопределенностей, соответствующих
риску, должны быть изложены на языке, понятном предполагаемому читателю.
Размер отчета зависит от
целей и области применения анализа риска. В отчете, за исключением отчетов по
очень простым видам анализа, должна быть отражена следующая информация:
а) краткое изложение
анализа;
в) цели и область
применения анализа;
г) ограничения, допущения
и обоснование предложений;
д) описание
соответствующих частей системы;
е) методология анализа;
ж) результаты
идентификации опасностей;
и) используемые модели, в
том числе допущения и их обоснования;
к) использованные данные
и их источники;
л) результаты оценки
величины риска;
м) анализ
чувствительности и неопределенности;
н) рассмотрение и
обсуждение результатов (включая рассмотрение и обсуждение трудностей исследования);
п) ссылки и рекомендации.
4.7 Корректировка результатов анализа
Если анализ риска
используется для обеспечения непрерывного процесса управления риском, его
необходимо выполнять и документировать таким образом, чтобы он мог
корректироваться на протяжении всего жизненного цикла системы, оборудования или
деятельности. Анализ должен обновляться по мере поступления новой информации и
в соответствии с потребностями процесса управления.
Про Профстандарты РосМинТруда